2040张图片训练出的ViT,准确率96.7%,连迁移性能都令人惊讶

新闻 2022-01-29 晓查
4364

诀窍是转为参数化实例判别

晓查 发自 凹非寺

非常AI | 公众号 QbitAI

ViT在计算机视觉领域取得了巨大的成功,甚至大有取代CNN之势。

但是相比CNN,训练ViT需要更多的数据,通常要在大型数据集JFT-300M或至少在ImageNet上进行预训练,很少有人研究少量数据训练ViT。

最近,南京大学吴建鑫团队提出了一种新方法,只需2040张图片即可训练ViT。

他们在2040张花(flowers)的图像上从头开始训练,达到了96.7%的准确率,表明用小数据训练ViT也是可行的。

另外在ViT主干下的 7 个小型数据集上从头开始训练时,也获得了SOTA的结果。

2040张图片训练出的ViT,准确率96.7%,连迁移性能都令人惊讶

而且更重要的是,他们证明了,即使在小型数据集上进行预训练,ViT也具有良好的迁移能力,甚至可以促进对大规模数据集的训练。

论文内容

在这篇论文中,作者提出了用于自我监督 ViT训练的IDMMInstance Discrimination with Multi-crop and CutMix)。

我们先来看一下ViT图像分类网络的基本架构:

将图像样本xᵢ(i = 1, 2, …, N; N为图片数量)送入ViT中,得到一组输出表征zᵢ。wⱼ为第j个分类的权重。

2040张图片训练出的ViT,准确率96.7%,连迁移性能都令人惊讶

然后,使用全连接层W进行分类,当类的数量等于训练图像的总数N时,即参数化实例判别。

第j类的输出为:

2040张图片训练出的ViT,准确率96.7%,连迁移性能都令人惊讶

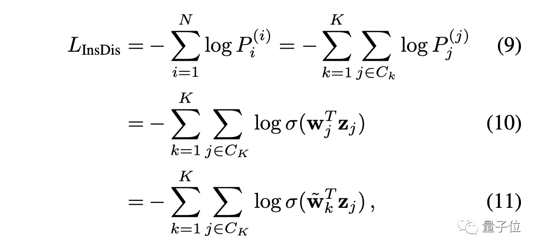
我们把O送入Softmax层,就得到一个概率分布P⁽ⁱ⁾。对于实例判别,损失函数为:

2040张图片训练出的ViT,准确率96.7%,连迁移性能都令人惊讶

对于深度聚类,其损失函数为:

2040张图片训练出的ViT,准确率96.7%,连迁移性能都令人惊讶

可以看出,只要适当设置权重(让wⱼ = ~wₖ ),就可以让实例判别等价于深度聚类。

从下图中可以看出,与其他方法相比,实例判别可以学习到更多的分布式表征,并能更好地捕捉到类内的相似性。

2040张图片训练出的ViT,准确率96.7%,连迁移性能都令人惊讶

作者之所以选择参数化的实例判别,还有一个重要的原因:简单性和稳定性。

不稳定性是影响自监督ViT训练的一个主要问题。实例判别(交叉熵)的形式更稳定,更容易优化。

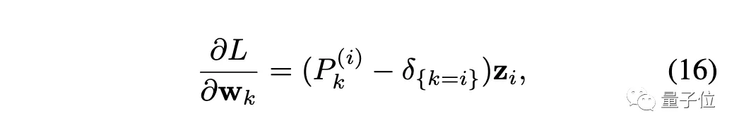
接下来开始梯度分析,损失函数对权重求导:

2040张图片训练出的ViT,准确率96.7%,连迁移性能都令人惊讶

其中δ是指示函数,当k=i时值为1,否则为0。

需要注意的是,对于实例判别,类的数量N通常很大,而且存在对实例样本访问极稀少的问题。

对于稀少的实例k≠i,可以预计P⁽ⁱ⁾ₖ≈0,因此∂L/∂wₖ≈0,这意味着wₖ的更新频率极低。

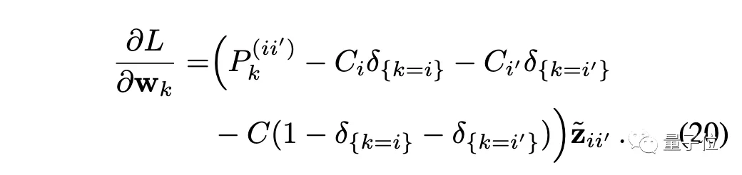
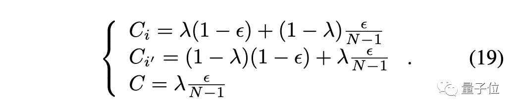
在小数据集问题上,作者使用CutMix标签平滑,来缓解此问题。

CutMix:

2040张图片训练出的ViT,准确率96.7%,连迁移性能都令人惊讶

标签平滑:

2040张图片训练出的ViT,准确率96.7%,连迁移性能都令人惊讶

最后梯度变为:

2040张图片训练出的ViT,准确率96.7%,连迁移性能都令人惊讶

本文第一作者是南京大学在读博士曹云浩,通讯作者是南京大学人工智能学院吴建鑫教授。

总之,作者使用了以下策略来加强小数据集上的实例判别。

  1. 小分辨率:预训练中的小分辨率对小数据集很有用。
  2. 多次裁剪:实例判别概括了对比损失,保证了在使用多种实例时获取特征的对齐和统一性。
  3. CutMix和标签平滑:有助于缓解使用实例判别时的过拟合和不经常访问的问题。

至于为什么需要直接在目标数据集上从头开始训练,作者给出了3点原因:

1、数据

目前的ViT模型通常在一个大规模的数据集上进行预训练,然后在各种下游任务中进行微调。由于缺乏典型的卷积归纳偏向,这些模型比普通的CNN更耗费数据。

因此从头开始训练ViT,能够用图像总量有限的任务是至关重要的。

2、算力

大规模的数据集、大量的耗时和复杂的骨干网络的,让ViT训练的算力成本非常昂贵。这种现象使ViT成为少数机构研究人员的特权。

3、灵活性

预训练后再进行下游微调的模式有时会很麻烦。

例如,我们可能需要为同一任务训练10个不同的模型,并将它们部署在不同的硬件平台上,但在一个大规模的数据集上预训练10个模型是不现实的。

2040张图片训练出的ViT,准确率96.7%,连迁移性能都令人惊讶

在上图中,很明显与从头开始训练相比,ImageNet预训练的模型需要更多的参数和计算成本。

在小数据集上进行预训练时的迁移能力。每个单元格和列中精度最高的元素分别用下划线和粗体表示

最后,在下表中,作者评估了在不同数据集上预训练模型的迁移精度。

对角线上的单元(灰色)是在同一数据集上进行预训练和微调。对角线外的单元格评估了这些小数据集的迁移性能。

2040张图片训练出的ViT,准确率96.7%,连迁移性能都令人惊讶

从这张表中,我们可以看到以下几点:

  1. 即使在小数据集上进行预训练,ViT也有良好的迁移能力。
  2. 与SimCLR和SupCon相比,该方法在所有这些数据集上也有更高的迁移精度。
  3. 即使预训练的数据集和目标数据集不在同一领域,也能获得令人惊讶的好结果。例如,在Indoor67上预训练的模型在转移到Aircraft上时获得了最高的准确性。

作者简介

本文第一作者是南京大学在读博士曹云浩,通讯作者是南京大学人工智能学院吴建鑫教授。

2040张图片训练出的ViT,准确率96.7%,连迁移性能都令人惊讶

吴建鑫本科和硕士毕业于南京大学计算机专业,博士毕业于佐治亚理工。2013年,他加入南京大学科学与技术系,任教授、博士生导师,曾担任ICCV 2015领域主席、CVPR 2017领域主席,现为Pattern Recognition期刊编委。

参考链接:
[1]https://arxiv.org/abs/2201.10728
[2]https://cs.nju.edu.cn/wujx/index.htm

相关文章