18秒充满的新型动力电池,来自北大团队和麻省理工,比尔盖茨都投了

新闻 2023-01-04 昭慧
4337

成本更低还更安全

曹原 发自 副驾寺

智能车参考|公众号AI4Auto

动力电池的最新研究成果曝光:

仅需18秒,就可实现充满。

成本还仅为主流锂离子电池的六分之一,论文已发表在Nature杂志上。

这种电池在低温时能正常使用、高温下也能保持稳定。

负责此项专利技术的教授之一,已成立一家电池公司,并获得专利授权。目前公司已融资810万美元(约合人民币5581万)。

值得一提的是,包括北京大学等在内的国内高校学者,也都是这次突破性进展的研究团队成员。

剩下的问题:这种快充、成本更低、更安全的电池,会影响当下动力电池格局吗?

什么样的电池

根据研究成果,这种双向、快充铝-硫属元素电池成本低至每千瓦时8.99美元(约合人民币62元),是目前锂离子电池成本的12%-16%

这种电池的预计电池极能量密度为526Wh/I,与石墨-NMC622等锂离子电池能量密度相当。

同时不需要额外的主动冷却系统,还可以避免热失控防止火灾

并且几乎不会有枝晶形成,进而防止电池短路

怎么实现的?

首先,新型电池的原材料储量丰富,且廉价。

这种新型电池正极硫属元素,比如硫和硒。

负极是,电解质是由NaCl-KCl-AlCl3组成的熔融氯铝酸盐。

众所周知,铝是地球上最丰富的金属元素。同时,硫元素、NaCl、KCl、AlCl3也都是常见的化学物质。

并且本次研究表明,即使使用类似食品包装铝箔等劣质铝制作负极,也不会影响电池性能。

这些因素都大大降低了电池成本。

其次,作为电解液的碱金属氯铝酸盐熔体比一般熔盐系统共晶点低得多,约为93ºC。

这保证电池在类似110ºC的低温情况下也能运行,同时在使用中还能保持“自热”,通过恰当隔热就能维持自身温度。

这意味着不需要主动冷却系统。

而由于热效应,一般的锂离子电池都需要冷却系统,让电池保持在最佳运行温度,提高效率。

同时,即使温度超过500°C,熔盐电解质仍然具有热稳定性非挥发性,不会在高温下汽化导致电池爆炸、起火。

并且,熔盐电解质除了熔点低还有另外一个好处:防止电池短路

这是因为电解质中的Al3+具有去溶剂化的特点,可以防止铝枝晶生成。

以及最重要的,这种新型电池具有良好的循环稳定性,因此可以快充。

这又是怎么实现的?

研究原理

论文中主要展示了铝硒电池和铝硫电池的性能。

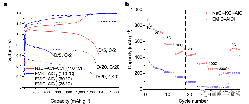
实验显示,在NaCl-AlCl3 电解质(熔点约为115°C)中,铝硒电池即使在 180°C 下的放电反应也很平稳,平均电压约为0.88V。

同时,在把放电时间缩短至5小时、或者2小时充满电的速率下,铝硒电池在50个循环后也没有电压衰减,电池容量能维持在300mAh/g。

当满电时间缩短至18秒,铝硒电池容量仍保持在75mAh/g。

作为对比,一般铝金属电极,电解质会使用EMIC–AlCl3(EMIC:1-乙基-3-甲基咪唑氯化物)。

而EMIC–AlCl3电池在满电时间缩短至6分钟(10C)及以下时,电池容量已经接近于0。

研究人员还通过改变充电速率,发现铝硒电池在满电时间为2小时(C/2)的情况下,可逆容量为520mAh/g;6分钟时为190mAh/g;18秒时为75mAh/g。

对于铝硫电池来说,在NaCl–KCl–AlCl3电解质中(共晶温度约为93°C),运行温度可达110°C,电池容量为525mAh/g。

放电时间恒定在2小时的情况下,铝硫电池即使充电速率提高,满电时间缩短至6分钟,电池容量仍能保持在500mAh/g。

当满电时间缩短至18秒,铝硫电池容量仍保持在210mAh/g。

相比之下,使用EMIC–AlCl3电池在满电时间缩短至72秒,温度升高后,电池容量接近于0。

并且,在论文设定的循环方案下,铝硫电池可在高充电率(满电时间为6-12分钟)和超高充电率(满电时间为36-72秒)下维持数百个循环。

同时,熔盐电解质中的Al3+离子沉积在动力学上占有优势,因此这种新型电池充电比放电更容易实现更高性能。

研究团队

本文主要由北大的庞全全团队和麻省理工学院Sadoway课题组共同完成研究。

研究人员还来自武汉理工大学、云南大学、路易斯维尔大学、滑铁卢大学、阿贡国家实验室等研究机构。

论文一作是庞全全,目前是北京大学材料科学与工程学院助理教授,和博士生导师。

本科就读于华中科技大学材料科学与工程学院,硕士和博士就读于滑铁卢大学化学系,以及麻省理工学院材料科学与工程系博士后。

2020年,庞全全受聘于北京大学工学院能源与资源工程系。同年,庞全全入选跨学科领域全球高被引科学家名单。

△庞全全的部分代表论文

庞全全在锂硫电池、锂金属电池、电解质、熔融盐电化学等领域共计发表20余篇论文,刊登在Nature Energy、Joule等化学及能源期刊上,总引用数超过7000次。

唐纳德·萨多威(Sadoway),是麻省理工学院材料科学与工程系的教授,主要研究非水介质中的电化学,包括熔盐、低温电解质的物理化学和电化学。

2020年,萨多威获得麻省理工学院能源计划提供的种子基金资助。2022年,萨多威凭借液态金属电池获得欧洲发明家奖。

并且,萨多威和Luis Ortiz共同成立了电池初创公司Avanti,萨多威担任首席科学顾问。公司已获得这篇铝-硫属元素电池论文研究的专利。

在去年4月,公司完成A轮融资,融资金额为810万美元(约合人民币5581万)。

投资公司包括比尔盖茨的Breakthrough Energy,埃尼集团(世界七大石油集团公司之一)的风险投资子公司Eni Next。

萨多威表示,目前公司的首要任务是证明铝-硫属元素电池可以大规模运作,然后进行一系列压力测试,包括运行数百个充电周期。

除了用作动力电池,较小规模的铝-硫属元素电池还可用于电动汽车充电桩,降低建设成本和增加充电速度。

并且这种电池也可以为单个家庭或中小型企业供电,存储容量约为几十千瓦时。

萨多威说,这篇研究论文的意义在于提醒人们:

“如果愿意投入时间和金钱,还有比锂离子电池更好、更便宜、更安全的技术可供研究。”

Nature论文原文链接:

https://www.nature.com/articles/s41586-022-04983-9

相关文章